Latex Hat Allowed Only In Math Mode

Trying To Use To Generate Tilde Symbol In Math Mode Tex Latex Stack Exchange

Trying To Use To Generate Tilde Symbol In Math Mode Tex Latex Stack Exchange

Typeset Mathematical Symbols Also In Sans Serif Font Tex Latex Stack Exchange

Typeset Mathematical Symbols Also In Sans Serif Font Tex Latex Stack Exchange

Trying To Use To Generate Tilde Symbol In Math Mode Tex Latex Stack Exchange

Trying To Use To Generate Tilde Symbol In Math Mode Tex Latex Stack Exchange

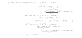
How To Align A Set Of Multiline Equations Tex Latex Stack Exchange

How To Align A Set Of Multiline Equations Tex Latex Stack Exchange

Incosistency Between Rmardkown Preview And Pdf Output Stack Overflow

Incosistency Between Rmardkown Preview And Pdf Output Stack Overflow

Incosistency Between Rmardkown Preview And Pdf Output Stack Overflow

Incosistency Between Rmardkown Preview And Pdf Output Stack Overflow

Incosistency Between Rmardkown Preview And Pdf Output Stack Overflow

Type H for immediate help.

Latex hat allowed only in math mode. Letters are printed in italics with more space left in-between spaces are ignored. Hat allowed only in math mode The output looks like this. U_2 Second element of the sequence u_n.

Postby gmedina Tue Jan 20 2009 414 am. Documentclass 10pta4paper book usepackage utf8x inputenc usepackage greek babel usepackage amssymbamsmathlatexsymamsfontsamsthmcleveref. Hat allowed only in math mode.

Package amsmath Error. Subscripts and superscripts Greek letters and various special symbols Example of text that uses math mode. Fri Sep 25 2009 951pm Postby solanumlycopersicum Wed Mar 31 2010 1110am Hey.

It is not changed from the code line. There is also a third mode called LR mode however this is rarely used by beginners and furthermore is usually implicitly entered with other commands. Trying to write the name Fraisse stylised correctly I believe i is the correct way to get the two dots above the i but I get the following error.

LATEX has a special mode for formatting mathematical formulas. Failed to compile MLEtex. The CH3COOH was irradiated with α-rays while at a temperature of 350 C.

Wed Jul 11 2007 945 pm. Ronblum commented on Dec 28 2018 zjplab Empty lines are not allowed in Latex math mode according to this LaTeX wikibook and a thread on Stack Exchange. September 2012 by tom 17 Comments.

How To Align A Set Of Multiline Equations Tex Latex Stack Exchange

How To Align A Set Of Multiline Equations Tex Latex Stack Exchange

Outback Hat Australian Bush Hat 1420 Safari Hat Outback Hat Mens Safari Hats

Outback Hat Australian Bush Hat 1420 Safari Hat Outback Hat Mens Safari Hats

Moodle In English Font Size In Latex

Moodle In English Font Size In Latex

I M Emo But In A Gerard Way Ladies Black T Shirt Emo Emo Outfits Gerard Way

I M Emo But In A Gerard Way Ladies Black T Shirt Emo Emo Outfits Gerard Way

Pineapple Upside Down Cap Black White Pineapple Clothes Pineapple Hat Cute Pineapple

Pineapple Upside Down Cap Black White Pineapple Clothes Pineapple Hat Cute Pineapple

Disney Wreck It Ralph Vanellope Dad Hat Disney Merchandise Dad Hats Black Dad

Disney Wreck It Ralph Vanellope Dad Hat Disney Merchandise Dad Hats Black Dad

Gatopoder Wowch Fashion Style Cat Fashion

Gatopoder Wowch Fashion Style Cat Fashion

Pin On Sewing Hacks

Pin On Sewing Hacks

Rollthedrumss Photographer Michelle Aristocrathair Irina Lavrega Hairstylistmakeup Delia Lupan Medieval Fashion Inspiration Dark Fashion Shades Of Black

Rollthedrumss Photographer Michelle Aristocrathair Irina Lavrega Hairstylistmakeup Delia Lupan Medieval Fashion Inspiration Dark Fashion Shades Of Black

Pin On Fitnes

Pin On Fitnes

Cat Face Mask Anti Dust Mask Anti Pollution Haze Mask Kitty Mouth Cover Cat Nose Mask Cute Feline Animal Cosplay Halloween Mask Mask Cute Costume Mask Trending Outfits

Cat Face Mask Anti Dust Mask Anti Pollution Haze Mask Kitty Mouth Cover Cat Nose Mask Cute Feline Animal Cosplay Halloween Mask Mask Cute Costume Mask Trending Outfits

Pin On Outside Stuff

Pin On Outside Stuff

Pin On Hats 4

Pin On Hats 4

Source : pinterest.com